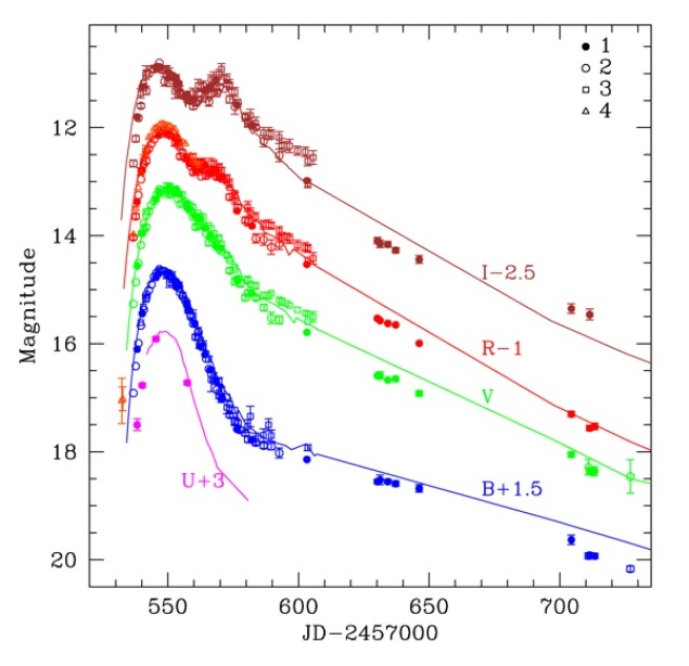
Svetelná krivka supernovy SN 2016coj vo filtroch UBVRI
Vedecký pracovník Astronomického ústavu SAV v Tatranskej Lomnici Sergey Shugarov so spolupracovníkmi zo zahraničia študoval zmeny jasnosti supernovy typu Ia v súhvezdí Draka s označením SN 2016coj. Supernovy typu Ia sa používajú ako štandardné sviečky (etalóny jasnosti) na stanovenie vzdialeností vo vesmíre. Ich svietivosť koreluje s tvarom svetelnej krivky. Napriek ich dôležitosti pri určovaní vzdialeností zostáva povaha ich predchodcov a mechanizmus explózie predmetom diskusie. Medzihviezdna extinkcia (pohlcovanie a rozptyl žiarenia vplyvom častíc medzihviezdnej hmoty) je jedným z hlavných faktorov, ktoré bránia presnému určeniu fotometrických parametrov supernov typu Ia. Jasnosť študovanej supernovy typu Ia, ktorá bola objavená v eliptickej galaxii bola len minimálne ovplyvnená medzihviezdnou extinkciou, čo bolo potvrdené porovnaním priebehu jasnosti na rôznych vlnových dĺžkach. Supernova bola preto vhodná na hľadanie odpovedí na vyššie uvedené otázky. Pozorovania boli realizované pomocou viacerých ďalekohľadov vrátane 60-cm ďalekohľadu AsÚ SAV v Starej Lesnej, na kalibráciu boli použité výsledky získané družicou Gaia. Porovnaním viacerých metód spracovania vychádza vzdialenosť supernovy 23,22 Megaparsekov, čo je približne 76 miliónov svetelných rokov a 716 x 1018 km.
Text: J. Svoreň, obrázok časopis Variable Stars 45, No. 12, 2025
Plný text na https://images.astronet.ru/pubd/2025/10/17/0001980821/pz-45-012.pdf
SAV